مقدمه
BMI شاخص توده بدنی این شاخص که در قرن نوزدهم توسط آدولف کتلت توسعه یافت، به طور گسترده در مطالعات پزشکی، اپیدمیولوژی و بهداشت عمومی برای طبقهبندی افراد به دستههای کموزن، وزن نرمال، اضافهوزن و چاقی استفاده میشود. BMI به دلیل سادگی و قابلیت استفاده در مقیاسهای بزرگ، به عنوان یک معیار استاندارد برای شناسایی خطرات مرتبط با سلامت، مانند بیماریهای قلبی-عروقی، دیابت نوع دوم و برخی سرطانها، به کار میرود.

BMI یا شاخص توده بدنی (Body Mass Index) معیاری است که برای ارزیابی وضعیت وزن بدن نسبت به قد استفاده میشود. این شاخص نشان میدهد که آیا فرد در محدوده وزن سالم، کمبود وزن، اضافه وزن یا چاقی قرار دارد.

دستهبندی ( BMI ) بر اساس سازمان بهداشت جهانی:
- کمبود وزن:کمتر از 18.5
- وزن طبیعی سالم :18.5-24.9
- اضافه وزن: 25-29.9
چاقی: بیش تر از 30
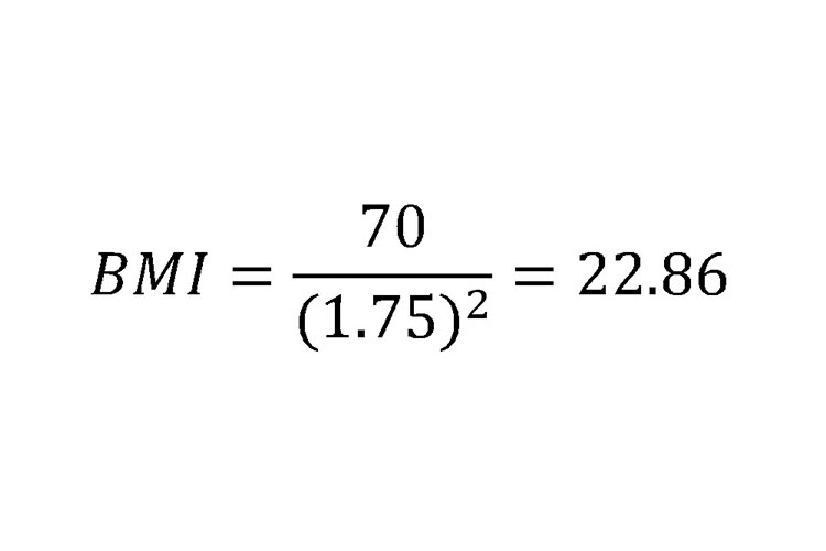
مثال:
اگر وزن فردی 70 کیلوگرم و قدش 1.75 متر باشد:

این فرد در محدوده وزن سالم قرار دارد.
نکات:
- BMI یک ابزار کلی است و عوامل دیگر مانند توده عضلانی، سن، جنسیت و توزیع چربی بدن را در نظر نمیگیرد.
- برای ارزیابی دقیق تر سلامت، بهتر است با پزشک یا متخصص تغذیه مشورت کنید.

(BMI ) نشان می دهد که آیا وزن شما نسبت به قدتان در محدوده سالم قرار دارد یا خیر. این معیار می تواند به شناسایی کمبود وزن، وزن طبیعی، اضافه وزن یا چاقی کمک کند.
- کمبود وزن (BMI) زیر 18.5: ممکن است با مشکلاتی مثل سوءتغذیه، ضعف سیستم ایمنی یا کاهش باروری همراه باشد.
-اضافه وزن یا چاقی (BMI) بالای 25: خطر بیماریهایی مانند دیابت نوع 2، بیماریهای قلبی، فشار خون بالا، مشکلات مفصلی و برخی سرطانها را افزایش میدهد.
BMI میتواند به شما و پزشکتان کمک کند تا برنامهای برای رژیم غذایی، ورزش یا تغییرات سبک زندگی تنظیم کنید. مثلاً اگر BMI نشاندهنده چاقی باشد، ممکن است نیاز به کاهش وزن با روشهای سالم داشته باشید.
BMI یک روش سریع، کمهزینه و استاندارد جهانی (تأییدشده توسط سازمان بهداشت جهانی) برای ارزیابی وضعیت وزن است. این ابزار به پزشکان و افراد کمک میکند تا تصمیمات بهتری برای سلامت بگیرند.
با اندازهگیری منظم BMI، میتوانید تغییرات وزن خود را در طول زمان رصد کنید و از تأثیر رژیم غذایی یا ورزش بر سلامت خود آگاه شوید.

- BMI فقط وزن و قد را در نظر میگیرد و عواملی مثل توده عضلانی، تراکم استخوان، سن یا جنسیت را نادیده میگیرد. مثلاً ورزشکاران ممکن است BMI بالایی داشته باشند، اما سالم باشند.
- برای کودکان، سالمندان یا زنان باردار، معیارهای دیگری ممکن است مناسبتر باشد.

در کنار BMI ( شاخص توده بدنی)، برای ارزیابی جامعتر سلامت و وضعیت بدن، معیارها و عوامل دیگری نیز باید در نظر گرفته شوند، زیرا BMI بهتنهایی محدودیتهایی دارد (مثل عدم توجه به توده عضلانی یا توزیع چربی). در ادامه، مواردی که میتوانند مکمل BMI باشند را توضیح میدهم
- چرا مهم است BMI تفاوت بین چربی، عضله و استخوان را تشخیص نمیدهد. درصد چربی بدن نشان میدهد چه مقدار از وزن بدن شما چربی است.
- چگونه اندازهگیری میشود؟ با ابزارهایی مثل کالیپر پوستی، دستگاههای بیوامپدانس (مانند ترازوهای هوشمند) یا اسکن DEXA.
- مثال: ورزشکاری با BMI بالا ممکن است درصد چربی پایینی داشته باشد، که نشاندهنده سلامت اوست.
- چرا مهم است؟ چربی شکمی (چربی احشایی) با خطر بیماریهای قلبی، دیابت و سکته مرتبط است. دور کمر بالا میتواند خطرناکتر از BMI بالا باشد.
- چگونه اندازهگیری میشود؟ با متر اندازهگیری دور کمر و باسن، سپس تقسیم دور کمر بر دور باسن
محدوده سالم:
- مردان: نسبت کمتر از 0.9
- زنان: نسبت کمتر از 0.85
- چرا مهم است؟عضلات نقش مهمی در متابولیسم و سلامت کلی دارند. BMI بالا در افراد عضلانی ممکن است بهاشتباه بهعنوان چاقی تفسیر شود.
- چگونه اندازهگیری میشود؟ با دستگاههای تحلیل ترکیب بدن (Body Composition Analyzers) یا اسکن DEXA.
- آزمایش خون: برای بررسی مواردی مثل قند خون (برای دیابت)، کلسترول، تریگلیسیرید و نشانگرهای التهابی.
- فشار خون: فشار خون بالا میتواند با اضافه وزن یا چاقی مرتبط باشد.
- سلامت هورمونی: مثلاً بررسی سطح هورمون تیروئید یا کورتیزول که بر وزن تأثیر دارند.
- چرا مهم است؟ میزان فعالیت بدنی بر سلامت قلب، عضلات و متابولیسم تأثیر میگذارد، حتی اگر BMI در محدوده سالم باشد.
- چگونه ارزیابی میشود؟ با بررسی میزان ورزش (هوازی، مقاومتی) یا استفاده از دستگاههای ردیاب تناسب اندام.
- چرا مهم است؟ کیفیت رژیم غذایی (مصرف مواد مغذی، فیبر، پروتئین و غیره) بر سلامت تأثیر دارد، حتی اگر وزن شما مناسب باشد.
- چگونه ارزیابی میشود؟ با مشاوره تغذیه یا ثبت روزانه مواد غذایی.
- چرا مهم است؟ BMI برای کودکان، سالمندان یا زنان باردار ممکن است معیار دقیقی نباشد. ژنتیک نیز در توزیع چربی و متابولیسم نقش دارد.
-چگونه در نظر گرفته میشود؟ با تنظیم انتظارات بر اساس سن، جنسیت و سابقه خانوادگی.
- چرا مهم است؟ استرس، خواب ناکافی و سلامت روان میتوانند بر وزن و سلامت کلی تأثیر بگذارند.
- چگونه ارزیابی میشود؟ با بررسی الگوهای خواب، سطح استرس و سلامت روان از طریق مشاوره یا پرسشنامه.
- استقامت قلبی-تنفسی: با تستهایی مثل VO2 Max.
- قدرت و انعطافپذیری: با تمرینات مقاومتی یا تستهای حرکتی.
- تراکم استخوان: بهویژه برای سالمندان یا افرادی با کمبود وزن.

BMI تنها یک نقطه شروع است و برای ارزیابی کامل سلامت، باید ترکیبی از معیارهای بالا را در نظر گرفت. مشورت با پزشک، متخصص تغذیه یا مربی ورزشی میتواند به شما کمک کند تا تصویر دقیقتری از وضعیت سلامت خود داشته باشید. اگر اطلاعات خاصی (مثل وزن، قد یا دور کمر) ارائه دهید، میتوانم محاسبات یا توصیههای دقیقتری ارائه کنم!




